Página principal
Productos
probador hidráulico
Repuestos Bomag
Bomba hidráulica
bomba hidráulica
motor hidráulico
banco de pruebas hidráulico
Caja de cambios
Piezas hidráulicas
válvula hidráulica
Sobre nosotros
Solicitud
Noticias
Contáctenos
‹
›
Descripción del Producto
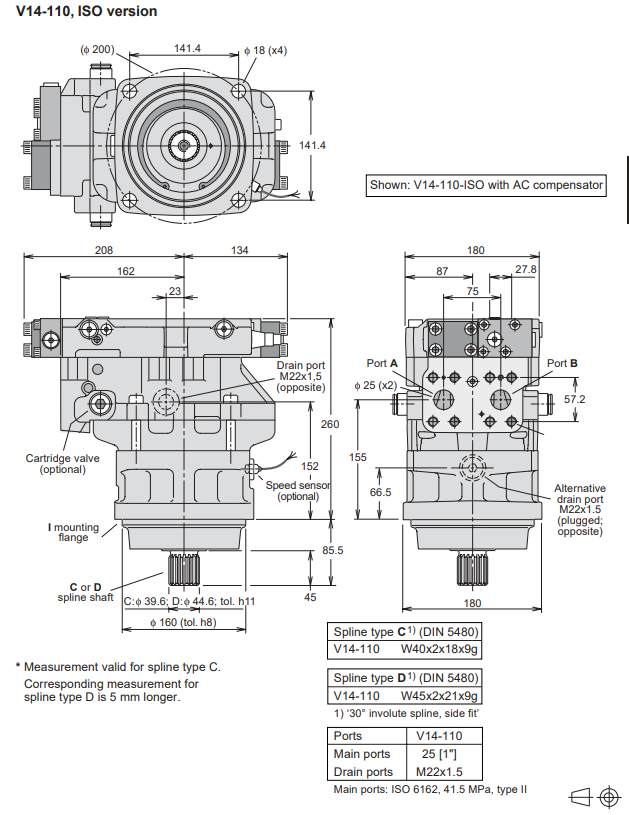
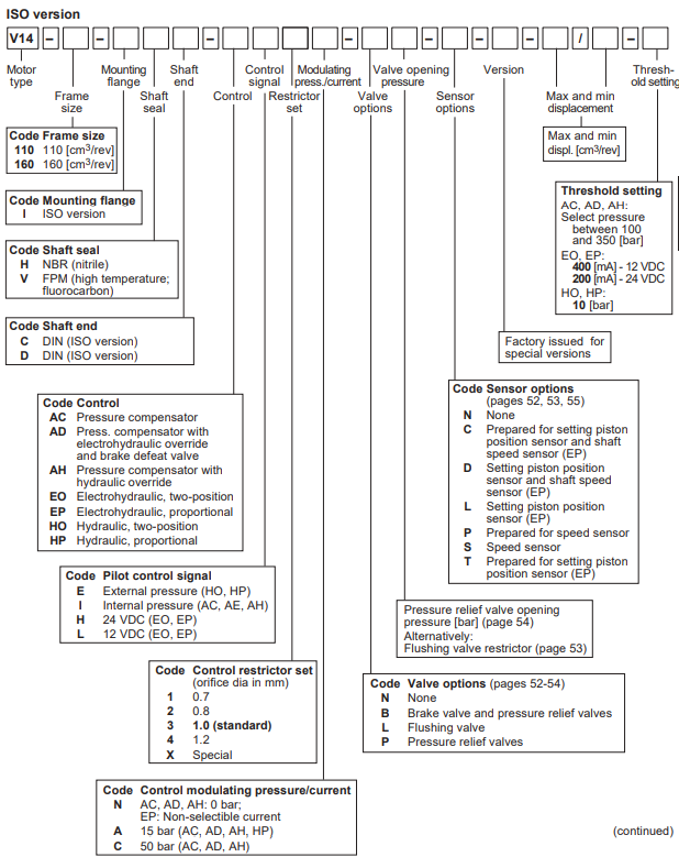
Motor de pistón hidráulico Parker serie V14, motor hidráulico V14-110 V14-160
Característica
La serie Parker V14 es un motor de desplazamiento variable de eje curvado que ofrece versatilidad tanto para circuitos abiertos como cerrados.
Aplicaciones. Está disponible en dos tamaños, lo que le permite elegir entre configuraciones ISO, SAE y de cartucho. Su diseño compacto
Facilita una instalación sencilla y rentable, lo que lo hace ideal para aplicaciones con espacio limitado.
Ingeniería eficiente y duradera
Después de rigurosas pruebas de producto e innovación continua, el motor V14-110, V14-160 funciona con máxima eficiencia.
Incluso en los entornos más hostiles. Su ingeniería avanzada garantiza que cumple con las altas exigencias de los sistemas hidráulicos modernos.
sistemas.
Deja tu mensaje
Productos recomendados
WhatsApp
TEL
EMAIL